主页
文章
介绍
公告
每日一题-数学系(2024.10.14)
题目:
题目
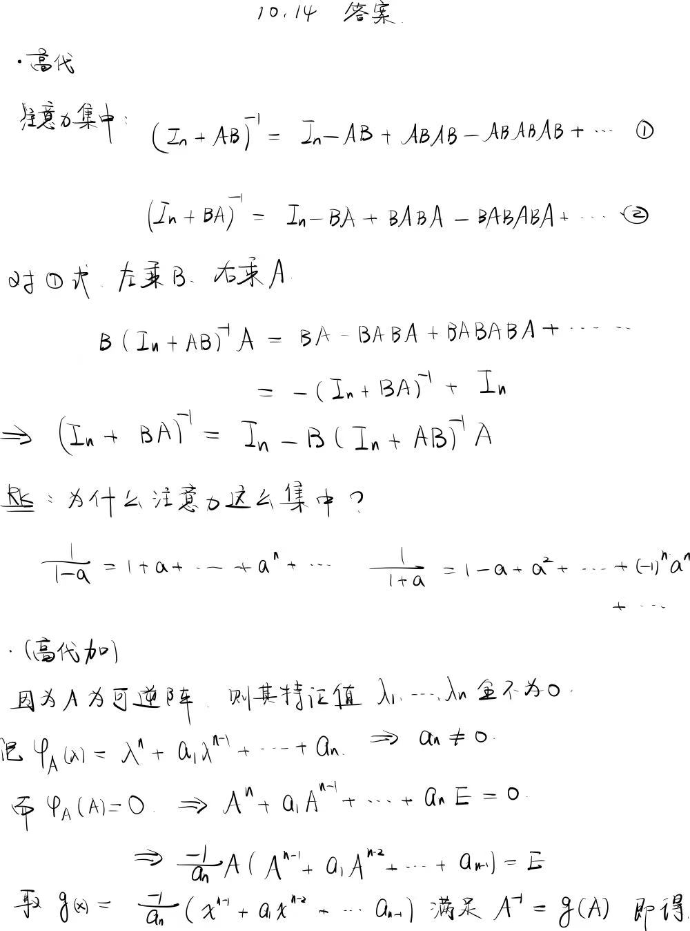
解答:
解答中可能会出现笔误等情况,参考答案时需要加以注意!!!
解答
解答
∧